你是否曾好奇,补充VC后,肠道内会发生哪些微妙变化?有过大量VC的人可能已经注意到一个现象:起初,肠道气体的产生似乎有所增加,但随着身体逐渐适应,这一状况会逐渐恢复正常。这种变化,正是VC在默默调节我们的肠道菌群。
VC作为日常饮食中的关键营养素,其吸收效率一直受到广泛关注。研究显示,从食物中摄取的VC,约有70%-90%能被身体有效吸收。然而,当我们一次性摄入大量VC时,部分VC可能无法立即被吸收,而是对肠道菌群产生影响。近年来,关于VC对肠道菌群影响的研究逐渐增多。
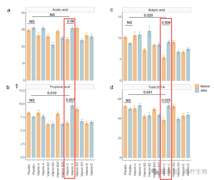
研究一:
瑞士苏黎世大学医院的研究团队进行了一项研究,他们评估了包括VC在内的五种维生素对肠道菌群的影响,包括VA(每日250微克)、VB2(每日75毫克)、VC(每日500毫克)、VD(每日60微克)和VE(每日100毫克)。

研究结果表明,VC对肠道菌群的调节作用最为显著。在受试者每日摄入500毫克VC的情况下,肠道菌群的多样性明显增加,粪便中短链脂肪酸的水平也有所提高。此外,柯林斯菌属的细菌丰度也显著上升。

研究二:
荷兰格罗宁根大学的研究团队进一步探讨了大剂量VC对肠道菌群的影响。在连续14天,每日补充1000毫克VC。

研究发现毛螺菌科细菌的丰度显著上升,而拟杆菌、肠球菌和甲酸芽殖菌的丰度则有所下降。

同时,双歧杆菌的丰度却呈现出明显的增加趋势,几乎翻了4倍。这一发现也在后续的研究中得到了验证。
研究三:
最后一项研究的标题直接揭示了其核心发现:VC的补充能增加肠道中双歧杆菌的丰度。

在研究中,受试者在进行VC干预的前后,分别进行了肠道菌群的宏基因组检测——他们的干预剂量也从3克到25克不等,干预方式包括单纯口服和口服加静脉注射。
他们观察到在VC干预后,双歧杆菌和毛螺菌科细菌的上升——这与第二项研究中的发现一致。同时,他们也观察到了特定柯林斯菌的增加——这与第一项研究的结果相符。


综上所述
我们可以初步推断:大量VC的补充可能会增加肠道菌群的多样性,提升短链脂肪酸的水平,并促进双歧杆菌、毛螺菌科以及特定柯林斯菌的生长。
PS:毛螺菌科细菌,特别是柯林斯菌,对人体具有多种作用。它们能够通过产生短链脂肪酸和改变胆汁酸代谢来影响肠道健康,并可能与炎症性肠病的治疗相关。此外,柯林斯菌还被研究用于治疗感染、炎症、代谢综合征和癌症等疾病。
能调节菌群的远不止益生菌和益生元,像VC这样的基础营养,也可能在菌群调节中起到关键作用,这些发现不仅揭示了VC在菌群调节中的潜在作用,未来随着研究的深入,我们有望更好地理解VC对肠道菌群的影响,并探索其在健康维护和疾病预防中的应用潜力。